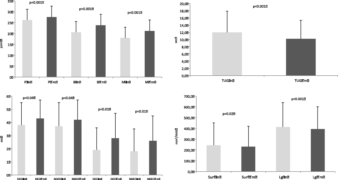
Fig. 1

functional capacities measured during initial (In) and terminal (Tm) evaluations. P: Posture, B: Balance, M: Motricity tests. TUG: Timed Up and Go test. DEO: dominant side eyes opened, NDEO: non-dominant side eyes opened, DEC: dominant side eyes closed, NDEC: non-dominant side eyes closed. Surf: surface of the center of pressure, Lg: length of the center of pressure